The Russian Science Foundation project (grant number 24-17-00099) “Mechanisms of sorting of plastic objects in the coastal zone of the sea and associated plastic mass fluxes within the coastal zone and into the open sea”
Project Lead: Chubarenko Irina
Abstract
Increasing contamination of seas and oceans with plastic waste is one of the most pressing environmental problems of our time, posing a threat to living organisms, the balance of ecosystems and human health. Estimates suggest that up to 95% of the mass of plastic in the ocean today is located in coastal zones, where larger plastic objects periodically wash ashore and wash back, gradually breaking down – and being exported to the open sea mainly in the form of small particles (microplastics). However, the specific mechanisms of operation of this “sorting system” have so far been discussed only in part and have been confirmed by field data only for floating garbage. This project involves studying the mechanisms of sorting plastic objects in the coastal zone of the sea under the influence of natural hydrophysical factors (surface waves, changes in sea level, with an emphasis on storm situations) and assessing the corresponding flows of plastic mass between the coastal zone and the beach, the coastal zone and the open sea. An integrated approach to assessing the mass of plastic, including macro-, meso-sized objects and microplastics, is relevant at the present stage of research. Field studies will be aimed at identifying the spatial distribution of plastic pollution (in mass terms) in the coastal zone (beach / surf zone / coastal underwater slope) and open waters of the south-eastern part of the Baltic Sea within the territorial waters of the Russian Federation. A comparison will be made of the mass of plastic waste on the beach (macro-, meso-, micro-particles (microplastics: 0.3-5 mm in this project)) during calm periods (OSPAR method, frame method) and after a storm in storm surges (modified frame method ) in different seasons. The search for areas of accumulation of large plastics on the underwater slope is supposed to be carried out from on board the craft using a drop camera. The collection and processing of bottom sediment samples will allow us to check whether a zone of microplastic accumulation is forming on sand bars. Sampling and analysis of the content of MP particles will be carried out in coastal waters before, during and after the storm, as well as in open sea waters. A series of full-scale experiments are planned that will allow (i) to study the mechanism of sorting of plastic particles in the rolling wave zone, (ii) to estimate the settling rates in sea water of real plastic and composite objects thrown onto the coastline under different characteristics of the oncoming waves, (iii) to conduct observations and analysis of the behavior of non-floating marine debris in the surf zone. Analysis of field data on the distribution of plastic mass in the coastal zone by particle size (macro-, meso-, micro-), by space and by environment (water, bottom, beach) in combination with an analysis of accompanying hydrophysical conditions will allow us to identify the main mechanisms and patterns of cyclic migration of plastic objects in the coastal zone of the tidal sea. The fluxes of plastic mass in the coastal zone (from sea to shore after a single storm and throughout the year; down the size range due to fragmentation) and the transport of microplastics to the open sea will be assessed. For analysis, it is assumed that methods of mathematical statistics, probabilistic approaches and artificial neural networks will be used. As a result of the research, the mechanisms of transport and accumulation of a new type of pollution in sea coastal zone will be revealed, which expands the ability to predict potential threats to humans and ecosystems.
Publications
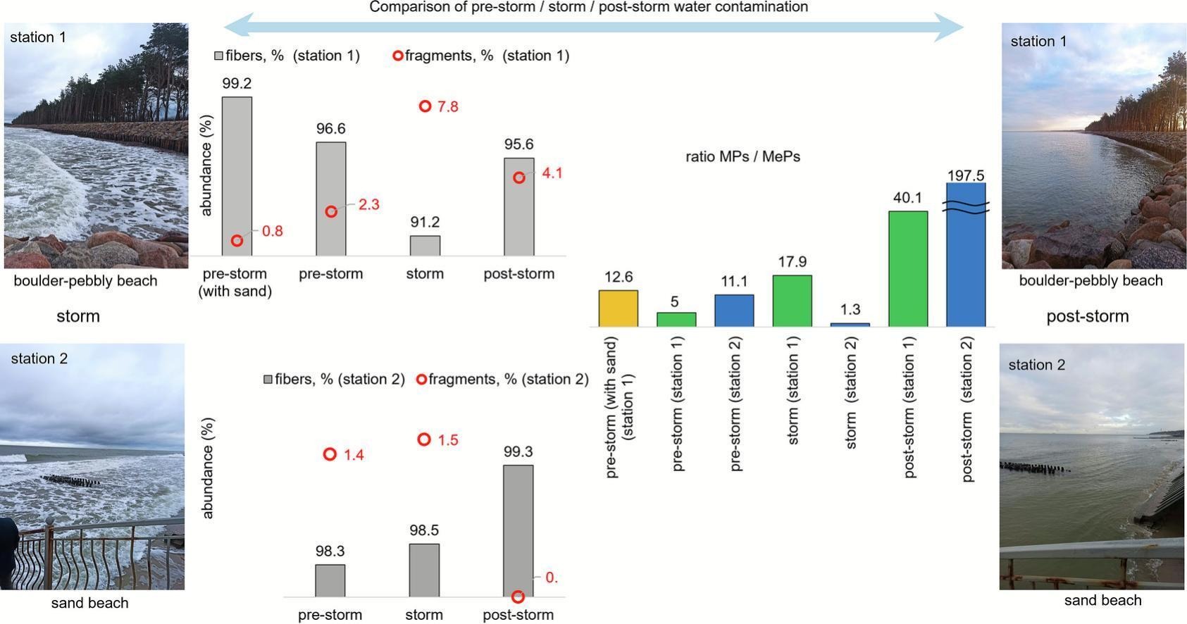
Esiukova E., Lobchuk O., Fetisov, S., Chubarenko I., 2026. The fate of marine microplastics in the swash zone. Marine Pollution Bulletin 224, 119100. https://doi.org/10.1016/j.marpolbul.2025.119100
Lobchuk O.I., Kileso A.V., Esiukova E.E., 2026. Beyond particle count: Integrating size and mass metrics for a more comprehensive assessment of beach litter pollution in the south-eastern Baltic Sea. Marine Pollution Bulletin 222, 118802. https://doi.org/10.1016/j.marpolbul.2025.118802
Chubarenko, I., Krivoshlyk, P., Esiukova, E., Zobkov, M., Fetisov, S., 2024. Natural sorting of sediments in the wave run-up zone works for microplastics as well. Marine Pollution Bulletin. 208, 117060. https://doi.org/10.1016/j.marpolbul.2024.117060.



